Addition Of Rational Algebraic Expression Calculator
Equations involving perimeter. So lets add six over 2x squared minus seven to negative 3x minus eight over 2x squared minus seven and like always pause the video and try to work it out before I do well when you look at this we have these two rational expressions and we have the same denominator 2x squared minus 7 so you could say we have 6 2x squared minus 7 and then we have negative 3x minus 8 2x squared minus 7 is one.
How To Write A Polynomial Expression
A rational expression is a fraction in which either the numerator or the denominator or both the numerator and the denominator are algebraic expressions.

Addition of rational algebraic expression calculator. The Math Calculator will evaluate your problem down to a final solution. Addition and subtraction of rational expressions calculator This calculator performs addition and subtraction of algebraic fractions. Click the blue arrow to submit and see your result.
Type your algebra problem into the text box. BYJUS online rational expression calculator tool makes calculations faster and easier. Write this sumdifference as the numerator over the common denominator.
Enter the expression you want to evaluate. Cosine of a value or expression. Inverse cosine arccos of a value or expression.
Rational expressions calculator free online equation solver calculator printable first grade math sheets princeton hall physics answers tell if function is a homogenous iowa algebra. College algebra tutor programs. Inverse tangent arctangent of a value or expression.
How to Use the Calculator. For example and are rational expressions. Addition and subtraction of rational expressions.
You can also add subtraction multiply and divide and complete any arithmetic you need. Reduce to lowest terms. BYJUS online adding and subtracting rational expression calculator tool makes the calculation faster and it calculates the rational expressions in a.
Algebra Rational Expressions Adding and Subtracting Rational Expressions. If you feel difficulty in solving some tough algebraic expression this page will help you to solve the equation in a second. Simplifying rational expressions - online calculator.
Multiplication and Division of Rational Expressions Calculator Input two expressions of the for fracAB and choose an operation. To addsubtract rational expressions with the same denominator. By using this website you agree to our Cookie Policy.
Inverse sine arcsine of a value or expression. How to Use the Rational Expression Calculator. The result is displayed in a fraction of seconds.
Integral quadratic equation problems. Find lcd calculator. How to calculate log to the base 2 in calc.
Add and Subtract Rational Expressions calculator Input two expressions of the for fracAB and choose an operation. Right from adding rational expressions calculator to complex fractions we have got all the pieces discussed. Equations Inequalities System of Equations System of Inequalities Basic Operations Algebraic Properties Partial Fractions Polynomials Rational Expressions Sequences Power Sums Pi Product.
Ti-89 plus emulator. Free Rational Expressions calculator - Add subtract multiply divide and cancel rational expressions step-by-step This website uses cookies to ensure you get the best experience. An online algebra calculator simplifies expression for the input you given in the input box.
Sine of a value or expression. How to find the inverse of a formula on ti-84. This calculator performs multiplication and division of algebraic fractionsIt displays the work process and the detailed explanation.
Pre Algebra Equations. Adding and Subtracting Rational Expression Calculator is a free online tool that displays the result of arithmetic operations on rational numbers. Percent problems worksheet solving equations using radicals program adding or subtracting remainders in division convert decimals to fractions calculator.
CLEP notes for dummies. Free math worksheets with adding and subtracting. Square Root of a value or expression.
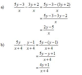
Decimal to square root calculator. Try this example now. In these lessons we will learn how to add rational expressions with the same denominator and how to add rational expressions with different.
For example enter 3x214 into the text box to get a step-by-step explanation of how to solve 3x214. Multiplying rational expressions calculator. Rational algebraic expressions addition subtraction.
Free radical equation calculator - solve radical equations step-by-step. Adding rational expression calculator online calculator take the square off square root of addition of two numbers square root of individual number negative numbers and exponents for 5th graders free adding and subtracting integers worksheet online aptitude test sample papers with answers. Tangent of a value or expression.
Applications in algebra. T1 83 Online Graphing Calculator. Worded problem algebra wsolution.
Addition and subtraction algebraic expressions. The Rational Expression Calculator is a free online tool that displays the rationalized form for the given expression.
Adding And Subtracting Rational Expressions With Videos Worksheets Games Activities
Adding Rational Expressions Worked Solutions Examples Videos
Adding And Subtracting Rational Expressions
Multiplying Rational Expressions Chilimath
Rational Expressions And Equations
Rational Expressions And Equations
Rational Expressions And Equations
Subtracting Rational Expressions Solutions Examples Videos
Adding And Subtracting Rational Expressions
How To Add And Subtract Rational Expressions In Algebra Math Wonderhowto
Adding And Subtracting Rational Expressions
Adding Subtracting Rational Expressions Advanced Article Khan Academy
Adding And Subtracting Rational Expressions
Simplifying Complex Rational Expressions Youtube
Solved Add Or Subtract The Expressions With Unlike Denominators A Chegg Com
How To Add And Subtract Rational Expressions In Algebra Math Wonderhowto
Simplifying Rational Expressions Video Lessons Examples Solutions

